ГДЗ Алгебра 7 класс Мерзляк, Полонский, Рабинович, Якир - Дидактические материалы «Вентана-Граф»

Обучение в школе в наше время напоминает игру в шарады: учащиеся должны по разрозненным словам учителя понять суть изучаемого предмета, а так же самостоятельно освоить принцип выполнения практических задач. Многим родителям порой совершенно не понятно, чем же именно их дети занимаются на уроке, если придя домой они попросту не знают как выполнять то или иное упражнение. Но спросить об этом самого преподавателя взрослые почему-то опасаются. Поэтому практически все сейчас пользуются вспомогательными пособиями, такими как решебник к учебнику "Алгебра. Дидактические материалы 7 класс" Мерзляк, Полонский, Рабинович.
Содержание данного пособия
В сборнике представлены задания для трех вариантов. В каждом из них дано по двести десять упражнений. Кроме того, в издании имеются и контрольные работы, содержащие задачи для двух вариантов. Детализированные ответы в ГДЗ по алгебре 7 класс Мерзляк дают полное понимание алгоритма решений. Имея сборник под рукой, можно заранее подготовиться к проверочным работам.
Для чего он нужен
К седьмому классу у ребят уже вырабатывается определенная манера восприятия материала. Кто-то все понимает уловив объяснения учителя, кто-то должен сам прочитать параграф к теме. Но есть и отдельная подгруппа детей, которым необходимо "разжевывать" информацию. Но учителя, которые сейчас по сути работают на показатели, уже не занимаются подробным изложением всех данных, поэтому весьма часто школьники уходят с урока так и не поняв всех критериев новой темы. Хорошие же показатели по дисциплине довольно трудно получить, если нет ее понимания. Решебник к учебнику "Алгебра. Дидактические материалы 7 класс" Мерзляк поможет не только хорошо подготовиться к проверочным работам, но и лучше усвоить необходимые познания. "Вентана-граф", 2017 г.
Похожие ГДЗ Алгебра 7 класс
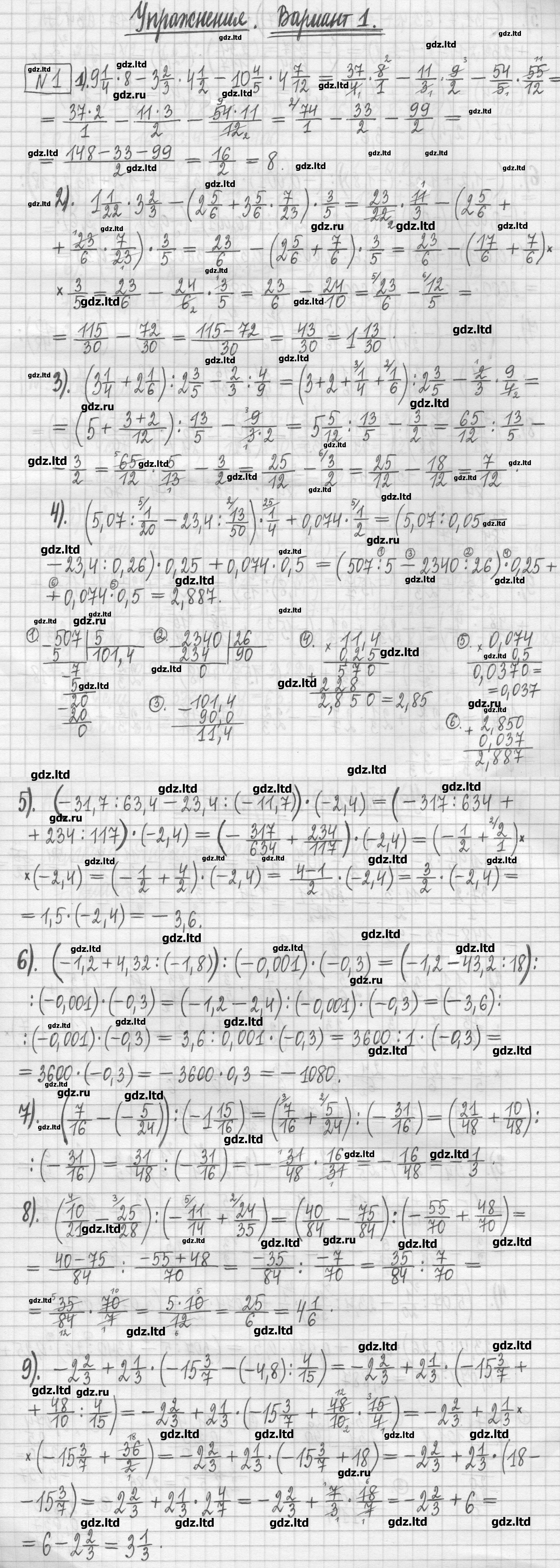
Вариант 1:
Вариант 2:
Вариант 3:
Название
Условие

Решение
